50 оттенков голубого. Зачем на планете существует гомосексуализм и как с этим жить
Здравствуйте, форумчане и гости сайта!
Хочу предложить вам статью, "слизанную" до единого слова с сайта журнала для мужчин MAXIM.
Причина "слизывания" проста - эта статья послужит предварительно удобренной почвой для моей собственной публикации, которую я собираюсь разместить на сайте в ближайшем обозримом будущем.
А пока, (на затравку, что называется) желаю приятного прочтения и осмысления текста из уважаемого мной онлайн издательства!
Геи, гомосексуалисты, содомиты, мужеложцы — как только, любя, не зовет русский народ этих забавных, диковинных существ. Откуда они взялись, почему такие и правда ли, что геи размножаются толерантностью?

Как известно из учебника физики, всякое действие рождает противодействие. И закон о запрете пропаганды гомосексуализма стал причиной того, что в редакции MAXIM решили написать статью о явлении, которое мы до сих пор предпочитали не замечать. В нашей системе ценностей гомосексуализм не является добром и не является злом: его там просто нет. Но, чтобы позлить законодателей, штампующих дурацкие законы, нам пришлось предать наши принципы. Проще всего будет сразу начать с худшего.
Итак, в гомосексуализме нет ничего противоестественного и антиприродного. Наоборот.

Ну а теперь можно выдохнуть и приступить к рассказу о том, почему так случилось.

Стратегические ресурсы
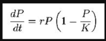
Жил в начале XIX века математик Пьер Франсуа Ферхюльст. Он занимался всякими скучными вещами, в том числе создал уравнение популяционной динамики Ферхюльста.
Выглядит оно в исходном состоянии вот так:

Здесь P – текущая численность популяции, K – ее максимальная численность (она вообще-то зависит от количества ресурсов), а r – скорость роста. Общий смысл: чем ближе численность популяции к своему максимуму, тем медленнее она растет. А то и вовсе убывает, если ресурсов на всех не хватает. Именно замечательные буквы К и r в XX веке стали использовать для обозначения двух основных типов популяционных стратегий, существующих на планете. Первыми эти термины ввели в 1967 году американские экологи Роберт Макартур и Эдвард Уилсон, но это не имеет никакого значения, потому что и без них биологи давно работали с уравнением Ферхюльста.
Кто же такие r-стратеги и К-стратеги?
R-стратеги
Девиз r-стратегов — «Размножайся изо всех сил!».
Есть место, пища, свет, тепло — не важно. Важно как можно быстрее и интенсивнее самокопироваться. К r-стратегам относится большинство бактерий, многие растения и грибы, некоторые виды насекомых и рыб и очень ограниченное число млекопитающих. R-стратега легко узнать по следующим характерным признакам: он чаще всего некрупного размера, живет очень недолго, половой зрелости достигает очень быстро, потомство его исчисляется сотнями, тысячами и десятками тысяч, причем его выращиванием r-стратег не занимается и дохнет оно со скоростью катастрофической.
И — прекрасная новость для депутата Мизулиной и господина Милонова: те из r-стратегов, которые пользуются половым размножением, практически не замечены в гомосексуализме. Ну разве что по ошибке...
R-стратеги незаменимы, когда нужно быстро заселить пустую территорию: свежеоткрытый пакет молока, остров, переживший извержение вулкана, или, например, планету, разжившуюся водой и хоть мало-мальскими условиями для выживания аминокислот.
Но в скорости размножения r-стратегов есть и свои минусы.
Например, привычка сжирать дочиста любую пищу, до которой могут дотянуться их мандибулы и псевдоподии. Поэтому обычно все происходит примерно так. Сперва было два r-стратега. Потом стало два миллиона двести двадцать два r-стратега. Потом — двести двадцать два гигамиллиарда миллионов r-стратегов. А потом приехали всадники на разноцветных лошадках, и популяция, причесанная Гладом, Мором и Войной, сократилась опять до двух полудохлых r-cтратегов.
Официально эта печальная история именуется «популяционный взрыв — коллапс — стабилизация». И эволюционно она не то чтобы была слишком успешной, по крайней мере для животных крупнее пуговицы. Поэтому большинство животных и растений крупнее пуговицы на этой планете придерживаются иной стратегии — К.

К-стратеги
К-стратегия рассчитана на то, чтобы популяция всегда сохраняла оптимальную, близкую к максимальной численность. Вот если на этой полянке могут прокормиться четыре кракозябры, то на ней и будут жить четыре кракозябры, ни больше ни меньше. Это разумно, удобно и гармонично.
Поэтому К-стратеги (это почти все млекопитающие, почти все птицы, а также некоторые растения, рыбы и насекомые) размножаются только тогда, когда у них есть для этого ресурсы. И резко сокращают деторождение, если популяционный счетчик начинает угрожающе потрескивать.
Работники зоопарка знают, что многих животных очень тяжело размножить в условиях неволи. Животным не нравится недостаток площади, излишняя суета вокруг, неправильное освещение, несбалансированное питание, шум и еще сто пятьдесят других параметров их бытия. Даже если зачатие состоялось, то еще не факт, что мамаша не выкинет плод. А если доносит до конца, то не обязательно будет выкармливать потомство; есть даже риск, что она вообще его слопает. Поэтому беременную бегемотиху или вомбатшу отделяют от остальных бегемотов или вомбатов, огораживают ее клетку звуконепроницаемыми непрозрачными щитами и ходят вокруг на цыпочках, не дыша. Все для того, чтобы бегемотиха или вомбатша прочувствовала покой вокруг и свое неизбывное одиночество, а ее популяционный счетчик милостиво дал добро на выращивание потомства.

К-стратеги, которые не прислушиваются к голосу счетчика, мгновенно вылетают из эволюционной гонки. Малочисленные детеныши К-стратегов требуют очень долгого и трудного выращивания, кучи свободного времени и ресурсов. И если родители произвели потомство в неподходящее время и в неподходящем месте, то они затратят время и силы впустую, ибо детеныши все равно не выживут. Так что разумнее не торопиться, а подождать подходящего момента для столь рискованной авантюры, как деторождение. И такая политика дает К-стратегам эволюционное преимущество. Что интересно, просто наличие множества пищи не заставляет счетчик заткнуться. К-стратеги знают, что много кушать и бесконтрольно размножаться — это опасно. Так что куда более важным показателем являются свободное пространство и не слишком большое количество представителей твоего вида (а также других видов со схожим образом жизни) вокруг тебя.
Каким же образом К-стратеги сражаются с популяционным давлением? Для этого у них есть множество инструментов. Вот пять самых популярных:

Почему К-стратеги часто не ограничиваются отказом от секса при перенаселении, а пользуются всеми вышеперечисленными инструментами? Сейчас узнаем.
Неистребимая жажда секса
Все самцы и многие самки видов с К-стратегией бисексуальны.
И не только бисексуальны, но и способны иногда устремлять свой половой интерес на самые неподходящие объекты. Все это обусловлено эволюционно. Дело в том, что половой инстинкт у высших животных штука мощнейшая, на которую работает немалая часть биохимии организма. Этот сложнейший аппарат обычно не может простаивать вхолостую.
Виды с К-стратегией научились обманывать его при помощи всевозможных фокусов: например, мастурбации, секса с неодушевленными объектами, секса с неподходящими по полу партнерами. Конечно, чаще всего эти фокусы приходится использовать при отсутствии подходящего партнера. Попугай, насилующий хозяйское ухо, или кот, страстно обнимающий тряпочку, охотно бы устремили свои взгляды в сторону очаровательных самок своего вида. Точно так же попавшиеся на содомском грехе моряки, заключенные и монахи обычно имеют нормальнейшую из ориентаций. «По существу, здесь не гомосексуальное поведение в строгом смысле слова, — писал доктор биологических наук, профессор Е. Н. Панов в своей работе «Анатомия однополого секса», — а попросту реакция самца на некий суррогат полового партнера, поскольку к самке в настоящий момент нет доступа. И в качестве подобного суррогата могут выступать даже неодушевленные объекты». Так что бисексуальность — это включающийся/выключающийся механизм.

Но, что важно, чем выше популяционное давление, тем чаще К-стратегия будет держать этот механизм включенным. Вплоть до появления чистых гомосексуалистов, у которых сексуальная инициатива представителя другого пола вызывает ярко выраженную реакцию отвращения.
Что интересно, судя по некоторым опытам с грызунами*, такая строгая гомосексуальность чаще всего закладывается еще в эмбриональном состоянии – при содержании самки-матери в неподходящих условиях, например при перенаселенности клетки.

Люди как звери
Теперь обратимся строго к человеческому обществу, к которому мы вроде бы пока еще относимся, хоть и не без купюр. Конечно, человек — животное (человек, который считает, что это не так, — глупое животное). И, соответственно, все эти эволюционные механизмы неизбежно встроены и в нас, как бы мы ни делали вид, что наш могучий интеллект и наша возвышенная душа способны задавить низменную природу нашей плоти.
Поэтому мы строго придерживаемся К-стратегии. В древности в случае перенаселенности мы убивали лишнее потомство, принося детей в жертву или обрекая младенцев на смерть в результате сознательного небрежного ухода (по мнению основоположника психоистории Ллойда Демоса, автора книги «Психология детства», за всю нашу историю в среднем два ребенка из каждых трех, не доживших до совершеннолетия, были жертвами убийства своими родителями). В более цивилизованную эпоху мы делаем аборты, пользуемся контрацепцией, поощряем институты монашества и стародевичества, накладываем жесткие ограничения на желающих стать родителями в перенаселенных зонах (да-да, ювенальная юстиция гораздо больше работает не на благо детей, а на сокращение их числа, чтобы там, где раньше носились десять чумазых ребятишек с разбитыми коленками, чинно гулял под присмотром двух запуганных взрослых один тщательно умытый ребенок в велосипедном шлеме). И да, гомосексуализм тоже эффективно работает на пользу К-стратегии.
Проклятие мегаполиса
Как уже сказано выше, любой вид с К-стратегией держит свою численность на максимально допустимом для данных условий уровне. Если ты тигр, тебе это сделать легко. Ты знаешь, что у тебя есть двадцать гектаров леса, — значит, тебе можно и нужно ухаживать за соседкой-тигрицей. А если пришел другой, более толстый тигр и выгнал тебя взашей, то ты либо ищешь другое угодье, либо обходишься без секса.
У животных социальных все несколько сложнее. Мы живем крупными группами, спим все вместе на одном дереве, безостановочно чирикаем друг с другом — и нашему популяционному счетчику приходится учитывать много тонких моментов. Наше биологическое «я» сидит с кучей технической документации и придирчиво фиксирует сотни разных параметров. Уровень шума. Наличие личного пространства. Физическое количество представителей твоего вида вокруг тебя. Время, проводимое тобой в полном одиночестве; ощущение пустоты, простора и свободы — как часто ты его испытываешь. И так далее. Так вот, большинство жителей современных мегаполисов живут со счетчиком перенаселенности, давно достигшим самой красной из возможных отметок. Житель Москвы может умом понимать, что Россия – не самая населенная страна в мире и что с демографией у нас швах, но, стоя каждый день в пробках, толкаясь в метро, живя в огромном здании на сотни квартир, он чувствует перенаселение. Любой крупный город неизбежно имеет минусовой естественный прирост и живет за счет мигрантов, которые уже во втором поколении тоже перестают размножаться. Идеология, религия и традиции не играют тут никакой роли. Мусульманский Тегеран имеет минусовой прирост естественной численности, зеленый пригород Нью-Йорка — плюсовой. В богатом Пекине жители без особых усилий выполняют требования всекитайской программы «Одна семья — один ребенок», а в нищих китайских деревнях рожают под угрозой жестких штрафов, гонений и взысканий, не регистрируют детей и прячут их по подвалам. Как мегаполис всегда будет черной демографической дырой, так нищая, голодная, разоряемая войной, но малонаселенная деревня будет давать прирост. И в мегаполисе неизбежно будет рождаться много гомосексуалов, а деревня традиционно будет изумляться развращенным нравам всяких Вавилонов и Римов, где мужчины лежат с мужчинами, а женщины — с женщинами.
Человек против природы
Конечно, интересы К-стратегии часто шли вразрез с механическими интересами племени, рода или государства. Когда племени нужны воины для изничтожения другого племени, когда семье нужны землепашцы и погонщики кобылиц, политикам нужны избиратели, а жрецам — адепты их религии, то очень хочется наступить на горло своей биологии. Тем более что подавляющее большинство наших традиционных культурных норм и религиозных предписаний пришло к нам из эпохи деревень, из тех блаженных времен, когда К-стратегия ласково трепала нас по загривку, приговаривая: «Плодитесь и размножайтесь!» Но сейчас все очень и очень поменялось. Семь с лишним миллиардов обитателей нашей планеты — живое свидетельство того, что с размножением нам пока не стоит слишком усердствовать. Хотя бы до тех пор, пока мы не освоим путешествия по гиперпространству и не начнем заселять иные звездные системы, — тогда-то можно снова будет усиленно вдарить по размножению. А пока человечество занимается тем, что осторожно ввинчивает новые требования К-стратегии в наши древние этические нормы. Потому что, когда ты предводитель племени в пару тысяч воинов, не считая хромого Йоси, а вокруг тебя клацают хищными зубами моавитяне и филистимляне, тут, понятное дело, нужно провозглашать мастурбацию и контрацепцию убийством, а содомский грех мерзостью перед лицом Господа и обещать вешать на высоком дереве всякого, кто забудет, для чего природа дала ему гениталии, а также отказываться считать настоящим мужчиной всякого, у кого нет хотя бы десяти детей.
А когда тебе кладут на стол доклады о проблемах продовольственной безопасности, когда демографическое давление разрывает к чертям социальный бюджет, когда качество населения становится в сотни раз важнее его количества – вот тогда можно начинать взирать на гомосексуалов взглядом вполне милостивым, так как в перенаселенном мире от гомосексуалов сплошная польза. Они фактически добровольно уступают другим людям право на генетическое бессмертие и передачу своих генов иным поколениям. Ведь размножаются гомосексуалы, причем не только мужчины, но и женщины, чрезвычайно неактивно. По данным статистических исследований, в Великобритании, например, лишь 25% лесбийских пар имеют детей, всего лишь 0,26 ребенка на женщину, при том что там средний уровень рождаемости — 2,1 ребенка на женщину (что касается пар мужчин-гомосексуалистов, то лишь 4% из них имеют детей, причем в половине случаев это приемные дети). Так что, вооружившись правами гомосексуалов и нормами ювенальной юстиции, современная действительность пытается примирить общественное мнение с существующим порядком вещей. Хотите иметь детей? На здоровье! Только обеспечьте их прокорм, образование и безопасность, иначе мы их отберем. Не хотите размножаться? Молодцы, никаких претензий, пусть размножаются те, кто на самом деле этого хочет. Не волнуйтесь, власть обеспечит вам поддержку, мы в каждый семейный фильм впихнем пару очаровательных гомосексуалов, мы приучим всех к мысли, что в мире нет ничего более нормального, чем гомосексуализм. Конечно, такое положение дел нравится не всем. Но, положа руку на сердце, это все-таки лучше, чем китайский вариант с государственным контролем над рождаемостью, когда нелегально беременных в наручниках везут в тюремные абортарии.
Что касается России, страны с серьезными демографическими проблемами, то у нас все обстоит еще сложнее. 70% нашего населения живет в мегаполисах в условиях перенаселения. При этом каждый десятый официально или неофициально живет в Москве. Остальная страна фактически пустая и заброшенная. Развивать пустые территории — прокладывать дороги, строить дома, обеспечивать отопление зданий, что в северных регионах влетает в огромную копеищу, проводить газ и воду, создавать дорогостоящую инфраструктуру пригородов, рабочие места, детские сады, клиники и так далее — мы пока не торопимся. Но зато мы усиленно сражаемся с гомосексуалами, которых становится все больше — разумеется, из-за тлетворного влияния Запада, а не из-за того, что остатки провинциальной России съезжаются в 15 крупнейших городов, превращая их в урбанистический популяционный кошмар.
Тата Олейник
Влад Лесников
10 июня 2015
Ирина здравствуйте, статья ваша хороша, но в ней для нашей страны я вижу, только угрозу, так как другие страны наращивают свою "человеческую " мощь, и наполняя те места откуда наши люди перебрались в мегаполис на заработки, могут захватить тереторию "кровосмешение" . Дальний Восток - разве в пограничных посёлках не проходит данная тенденция?!
Я считаю, что в нашей стране, данная ситуация с "гомосексуализмом" не должна развиваться и тем более где либо пропагандироваться.
Я с Вами согласна. Движение ЛГБТ не должно иметь развития в России!
Ирина, если вы вообще Ирина, а не Ирен или как вас там. Не пытайтесь открывать здесь окна Овертона. Не пролезет, не кто не собирается понимать и тем более допускать вашу голубую братию. Каленым железом, выжигать за выход за допущенные рамки закона. Вам здесь педерастам нет места.
Вы вообще статью-то читали?
Ну вот и пара педерастов выявилась!
Если выбирать между двух зол, то лучше китайская система контроля над рождаемостью, чем извращения над ЧЕЛОВЕЧЕСКОЙ природой. Правильное воспитание и грамотная система образования очень просто решают эту проблему. Уж не говоря про медицинскую специфику таких отношений.
Чудный комментарий! Большое спасибо!
Статья о том, что нужно развивать малые города, их инфраструктуру, а не вбухивать все в Москву и Питер.
Иесз, Ирина! Именно об этом!
Я ждала подобного комментария, и - наконец-то - дождалась!
Спасибо! Вы всё поняли правильно!