Пальмовый парадокс: детям — нельзя, взрослым — можно
Наши доблестные депутаты очень заботятся о нашем здоровье, и поэтому пальмовое ...
Почему муж не хочет делить свою зарплату с женой?
Начну с того, что я подписана на одну блогершу (она ведёт блог о декрете и материнстве) в Телеграм-канале. Иногда заглядываю в её личный чат, где общаются в основном молодые мамочки в декрете.
Индексация пенсий с 1 января 2026 года. Какая будет пенсия в новом году
Светлана Бессараб раскрыла размер пенсий , которые получат россияне в следующем ...
Злоупотребление правом. «Слово не воробей, вылетит — не поймаешь». Вопрос юристу.
Совсем недавно поступил вопрос от женщины, она пользователь сайта. Такое поведение ...
Операция «Романтика»
Сейчас очень много должников, и приставам порой приходится идти на разные ухищрения, чтобы ...
В Кремле ответили на предложение США вернуть Россию в мировую экономику
США разработала и предоставила партнерам из Европы целый проект в рамках урегулирования ...
От чего у молодых девушек нет желания следить за своей внешностью? Случай из жизни.
Смотря на современную молодёжь невольно возникает вопрос: Совсем недавно в суде встретила молодую девушку-юриста, которую ранее никогда не видела, но видела на одном сайте под интересной AI-аватаркой.
Россиян лишат импортного лекарства: новые горизонты отечественного здравоохранения
Когда лопухи станут валютой стратегического резерва О, радость! Свершилось! Наконец-то в нашем ...
Когда ждать мира? Какого мира ждут россияне и партии — простыми словами
Мне, как и многим из вас, важно понимать не столько сухие декларации, сколько ...
В 2026 году заработает «налоговый кешбэк» для семей с детьми
Впервые сегодня увидела такую фразу как налоговая семейная выплата. И сразу возник ряд вопросов: Что такое семейная налоговая выплата и кому она положена? Итак, по сообщению уважаемого мною РБК,...
Америка в кредит: почему у американцев нет денег даже при больших зарплатах
https://avatars.mds.yandex.net/i?id=2a0000019b0709039886166662dad274ecb6-1437362-fast-images&n=13 фото
09:05
Причина бунта у стен Кремля.
Сегодня может это звучит немного дико, но 15 лет назад 11 декабря 2010 год участники ...

Их, игрек, и краткое
...уйня какая-то...

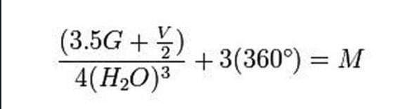
(3.5G+V/2)/4(H2O)3 + 3(360◦) = M
3,5 части джина + половина части вермута с четырьмя кубиками льда... и крутануть 3 оборотами...
Ну вот теперь и Вас Юра в Ч/С внесёт, такую
интригу разрушить...

Ваша интрига ещё не разрушена?
Мне за свою сегодняшнюю, хоть перед всем сайтом извиняться...
Джин с сухим вермутом "мартини" мне давно не по средствам.

Не тем заняты, доктор. Потому и не по средствам.
Мужчина с интересной фамилией Стакан и прекрасным чувством юмора назвал детей Мартин и Джина
Зачем эти мозгойопки?
Это реклама ручки "Паркер" У тебя, Юра, есть такая?
Если есть, и есть джин с вермутом, то налей в указанных пропорциях, брось 4 кубика льда, размешай тремя оборотами ручки - и можно разом хряпнуть или посмаковать.
Успехов!
Дохтор, есть отвертка? И если есть водка и апельсиновый сок, то налейте и размешайте. Хряпните и посмакуйте. Успехов.
Блин, Я прожженный гуманитарий. Никогда не любил эти формулы
Нет повода для огорчения, для любого "физика" это ещё большая загадка чем для "лирика"...

Скорее всего это какой-то алкогольный коктейль. Ноя с этом не сильна.
Мартини?