Математика в порядке эрудиции нужна абсолютно всем, даже балерине

Содержание
1. Без бутылки не разберёшься
2. Что вообще должен знать и уметь любой человек
3. Эрудиция — это глубина знакомства с окружающим миром и с математикой в частности
4. Сколько математики должен знать любой нормальный человек
5. Тест на математические способности
6. Обсуждение
1. Без бутылки не разберёшься
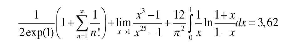
Этот рисунок я вырезал из 16-й страницы "Литературной газеты" очень давно, ещё тогда, когда был СССР. Не смотря на не высокое качество копирования рисунка (тогда ещё не было массовой электроники), суть его просматривается достаточно хорошо. Два человека вычисляют стоимость бутылки водки. В результате получается 3,62 рубля. Именно столько и стоила тогда бутылка водки. При этом, сама водка в чистом виде без стеклянной бутылки стоила 3,5 рубля, а пустая бутылка 12 копеек. Пустую бутылку можно было сдать продавцу, получив за неё 12 копеек или включить её в стоимость покупаемого продукта.
Прежде, чем перейти к более серьёзной части статьи, в порядке разогрева расскажу о величайшем трагикомическом событии, который потряс весь город Челябинск (в то время там я проживал). Очередь к продавцу. Подходит мужичок и просит разрешения у очереди купить вне очереди бутылку водки. В одной руке он держит деньги (а именно 3,50), а в другой пустую бутылку, вместо не достающихся 12 копеек. Очередь сжалилась и позволила мужику купить желаемое. Тот передал продавцу деньги и бутылку, но продавец вдруг отказал ему в покупке потому, что у горлышка бутылки был скол. Бутылка была забракована, в покупке было отказано. Желая предупредить предынфарктное состояние мужика, очередь сжалилась над ним ещё раз и хором собрали 12 копеек. Нужно сказать, что те 12 копеек были солидной суммой. За 1 копейку можно было приобрести целую коробку спичек. Мужик получил желанную водку и, весело пританцовывая, вышел из магазина, держа в одной руке полную бутылку, а в другой пустую бракованную. Радости его не было предела. Если бы был жив великий художник Леонардо да Винчи, он бы, в духе своей картины о мадонне, написал бы портрет этого счастливца. Как стоит он, широко улыбаясь, с задранной головой и закрытыми глазами, с растопыренными руками и в каждой по бутылке. Конечно, пустую бутылку так просто выбросить нельзя. Иначе её подымет другой такой же любитель и помучается сдавать. Поэтому он подошёл к железобетонному ограждению лестницы и с силой хряпнул по нему бутылкой. И, о ужас! Разбил-то он не пустую бутылку, а бутылку с водкой! Немая сцена в духе пьесы Н.Гоголя "Ревизор": полусогнувшийся мужик, с опущенной головой и выпученными глазами, с растопыренными руками, в одной руке пустая бутылка, в другой горлышко от разбитой бутылки. Горе страшное, беда невыносимая.
После такого лирического отступления перейдём к сути.
2. Что вообще должен знать и уметь любой человек
В смысле образования должно быть (по крайней мере желательно!) среднее. Всё остальное — простые, казалось бы, элементарные правила поведения человека в обществе. И, вдруг оказывается, что эти правила многим не известны. Кстати, а где эти правила есть? В какой книге они написаны? При Петре I вышла книга "Юности честное зерцало", в которой описывались правила поведения в обществе. Я спросил у Яндекса: есть ли сейчас такая современная книга? Яндекс ответил, что книг о правильном поведении в обществе написано много, есть труды по разным формам этикета и прочим прибамбасам. А простой компактной книги по всем вопросам не существует. Да, в одну книгу нельзя втиснуть абсолютно всё, поговорку "нельзя объять необъятное" помним. Вот о каких проблемах хотелось бы почитать.
• Поведение в людных местах: вокзалы, остановки транспорта, театры,, пляжи, рестораны, экскурсии и т.п.
• Разговоры (переговоры) с разными лицами: детьми, учениками, учителями, начальниками, подчинёнными, силовиками, стариками, продавцами, покупателями и т.д.
• Как это не покажется странным, но простому умению говорить тоже нужно учиться. Объявления по радио в городском транспорте об остановках надо бы улучшить. Название остановки нужно произносить театральным голосом чётко, выразительно, громко.
Надеюсь, читатели подскажут, какие ещё житейские вопросы следует осветить. Итак, каждый человек должен:
1) иметь минимальное образование и какую-нибудь профессию;
2) уметь вести себя в обществе;
3) во всём остальном должен быть эрудированным.
На последнем пункт остановимся подробнее.
3. Эрудиция — это глубина знакомства с окружающим миром и с математикой в частности
Каждый человек в той или иной степени должен быть эрудированным в астрономии, биологии, медицине, химии, физике, математике, политике, экономике и прочих науках. В данной статье нас будет интересовать только математика. Постараюсь обосновать тезис: математика это не только знания, но и воспитание характера.
В чём принципиальное отличие математики от других наук? Представьте себе, что вы начинаете изучать физику. Вам сообщают, что скорость света 300 тысяч км/сек. И вам нужно в это поверить. А куда денешься? Будь эта скорость даже значительно больше или меньше, всё равно глазом не отличишь. То же можно сказать об информации, получаемой от медицины, экономики, политики и прочих областей знания. Нам нужна информация с истинностью ровно 100%, не меньше, но и не больше. Как в этом убедиться и сделать правильные выводы? Ни лабораторий, ни приборов под рукой нет. Выручить может глубина эрудиции в данной теме или консультация с доверенным специалистом. А в математике ничего этого не требуется. Вы узнали что-то из математики, например, что 2 х 2=4, и вам до лампочки любые иные мнения на этот счет. Даже, если эти мнения выскажут большие авторитеты. К примеру, вам сообщили, что три академии (британская, российская и французская) приняли совместное решение о том, что отныне нужно считать, что 2 х 2=5. Вы сходу, не задумываясь, пошлёте всех этих академиков на хутор ловить бабочек. И будете правы даже при слабой математической эрудиции. Теперь представьте получение такой информации. Вам скажут, что скорость света в 300 выше упомянутых смыслах есть только у прямых лучей, а скорость отраженных лучей на 50 единиц меньше. То есть, от Солнца к Луне свет мчится со скоростью 300 000 км/сек, а отраженный от Луны этот же свет движется к Земле уже со скоростью 250 000 км/сек. И звучит правдиво такое обоснование, что ударившись о Луну, свет теряет часть своей энергии и, по этому, с замедленной скоростью в отраженном виде продолжает движение. Вряд ли вы решитесь ставить под сомнение эту новость, если почувствуете свою некомпетентность.
Особая ценность математики состоит в том, что уже первые начальные знания предмета вырабатывают у человека уверенность в правоте, самостоятельности и надёжности убеждений.
Ещё одно приятное свойство математики.
Человек, успешно осваивающий математику, уже обладает способностями успешно осваивать любой другой предмет. Его легче обучать любой профессии.
По моим наблюдениям ученик, успешный в математике, глубже разбирается в литературе, истории и прочих дисциплинах, где математика, как таковая, не просматривается. Это и сейчас видно. Некоторые деятели искусства (Пугачева, Галкин***, Макаревич... — список довольно обширный) выступили против СВО. Они искренне считают, что вражда между Россией и Украиной недопустима. Не знаю, каковы у них были успехи в школе по математике, но они не сумели проявить хоть капельку серьёзности в изучении причин СВО. Мы напали? Да, напали. В 1945 мы напали на Германию и штурмом взяли Берлин. Против этого нападения никто не вякает.
Скажите, много ли вы знаете наших технически подкованных лиц, владеющих математикой, выступающих против СВО?
Если человек решил пойти в науку, не важно в какую, то он должен помнить следующие слова одного великого классика науки (забыл его ФИО, но суть запомнил).
В любой науке есть столько серьёзного, сколько есть в ней математики.
4. Сколько математики должен знать любой нормальный человек
Формула, которая изображена над собутыльниками, выглядит не четко. Перепишем её в более разборчивом виде:

Знаете, я не поленился и всё пересчитал. Да, всё верно, точно 3,62 получается. Конечно, мы ничего здесь дальше решать не будем. Скажу только, что тот любой другой человек (не технарь), который может решать подобные примеры, тот имеет высокую степень эрудиции в математике.
Всё это понятно, скажете вы. Важность математики понимают все. Но балерине, которая в заглавии статьи упоминается, ей-то зачем эта хрень? Предположим (а предположить можно самое невероятное), что балетное искусство потребовало математической помощи. Скажем, нужно знать тангенсы углов поворота правой ножкой балерины влево, а головой вправо под музыку композитора Мяугавтявского в его пьесе "Танец орлов-стервятников". Даже в таком экзотическом случае нет ничего страшного. Просто балетная студия пригласит специалиста, который это всё рассчитает. А балерине зачем? Мой вариант ответа. Балерина, прежде всего, человек со всеми правами гражданина РФ. Усвоенные со школьной скамьи строгость и объективность математических суждений учат с успехом решать многочисленные жизненные проблемы. Если бы, например, Анастасия Волочкова этим хорошо владела, она бы не сделала столько глупых оплошностей.
5. Тест на математические способности
Таблица умножения — это единственное, что действительно надо вызубрить. Всё остальное нужно просто понять, понимать. Прямо здесь и сейчас открою некоторые тонкости таблицы умножения. Это будет своеобразный тест на предмет ваших математических способностей. Итак, поехали.
Вы обладаете способностями к успешному изучению математики, если по отношению к таблице умножения сумеете овладеть следующими положениями:
• мгновенно по памяти воспроизводите любое прямое выражение таблицы (например, 7 х 9=63, 9 х 8=72);
• мгновенно по памяти воспроизводите любое обратное выражение таблицы (например, 63:7=9, 72:9=8);
• устно (не обязательно мгновенно) вы можете разделить любое целое двухзначное число (не более 100) на однозначное число (1 цифра) и получить результат с остатком. Например, 67:7= 9 и остаток = 4, 79:9 =8 и остаток =7. Нужно уметь устно выполнять упомянутое деление и в том случае, если результат деления больше 10. Например, нужно выполнить 99:7. Так как 70:7=10, то остаётся выполнить (99-70):7=29:7=4 и остаток 1. Общий итог 99:7=14 и остаток 1. Ещё пример. 99:4. Здесь сразу берём 80:4=20. Далее (99-80):4=19:4=4 и остаток 3. Конечный результат 99:4=24 и остаток 3. То есть, потребуется ещё умение устно складывать и вычитать два двухзначных числа (в пределах до 100), одно из которых оканчивается на 0.
Если вы удачно поняли все три пункта приведенного теста, значит вы обладаете блестящими способностями к познанию математики.
Остаётся только добавить такое качество, как аккуратность. Споткнуться можно в любой момент буквально на ровном месте при изучении любой науки. Приведу пример из личной жизни. Я учился заочно на математическом факультете университета. Решил самостоятельно освоить программирование на ЭВМ (электронная вычислительная машина — так тогда именовались компьютеры). Обложил себя нужной литературой, но дело не двигалось. Я не мог понять простого слова "адрес". Конечно, это слово я знал ещё в 1 классе. Но каков его смысл в программировании? Как понять фразу: возьмите число по такому-то адресу? Там что, тётя в квартире сидит и держит число при себе? После первых двух курсов вуза я разбирался в интегральном исчислении и прочих мудростях, а в простом программировании не смог сдвинуться с места из-за такого знакомого слова адрес. Целый месяц бился в недоумении. Не было тогда интернета и яндекса с гуглом. И спросить не у кого! Программистов на весь большой город считанные единицы. И вдруг в одной книге обнаружил объяснение. Оказывается в машине есть ячейки, в каждой из которых может находиться число. Все ячейки пронумерованы. Номер ячейки и называется её адресом. Потрясающая простота! После этого всё пошло быстро и легко. Я не только усвоил программирование, но и стал его преподавать. Мои ученики появились почти во всех вычислительных центрах Екатеринбурга. Так что не бойтесь препятствий. Вы уже прошли тест, вы умница, капельку терпения и аккуратности и вы обязательно победите!
Как вы относитесь к тесту по таблице умножения?
Проголосуйте, чтобы увидеть результаты
В математике видимо всё стабильно, в чём-то в физике и химии.
Но и в естественных науках вполне возможны всякие открытия, которые могут поменять представления о чем-либо.
Матиматика не всем "по зубам", подтвердят те, у кого она " не шла" в школе, хотя и полезна, бесспорно, в доступном объёме.
Как и другие предметы, которых, например, в вузе было достаточно, способствующие активной работе ума, хотя они по жизни бывают совсем не нужны, но свою пользу для ума, для образования нейронной сети, уже принесли.
Не знаю, насколько сильна в математике, но обхожусь без калькулятора .
Математика нужна любому человеку, она помогает в пространственном мышлении, и просто в мыслительных процессах.
Добавлю: допускается здесь голосование по нескольким пунктам одновременно, т.е. не обязательно по одному.
Здравствуйте. Интересно. Спасибо за публикацию